Skip to product information
1 of 1

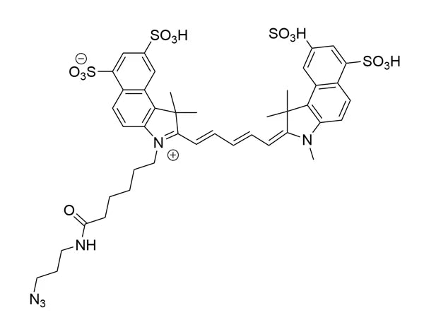
Cy5.5 Azide - 1 mg

Cy5.5 Azide - 1 mg

SKU: VECTCCT10591
Available Quantity : 0
Shipping calculated at checkout.
Sales Unit: 1MG

View full details
Description
Specifications
Documents
Literature & Videos
Sales Unit 1MG

Need Product Assistance?

Our experts are here to help! Contact us for technical support, product recommendations, or order assistance.

Contact Us